AVISO: Estamos com problemas em nossa linha de telefone fixa. Por favor, caso precise entrar em contato use nosso numero de WhatsApp +55 (11) 9.9799-7073
Capa do Artigo UFBs e Polifenóis: nanoSAQLA e Ensaios Confirmam Elevação de +3,5°C no Congelamento

UFBs e Polifenóis: nanoSAQLA e Ensaios Confirmam Elevação de +3,5°C no Congelamento

Bolhas ultrafinas (UFB) + polifenóis elevam temperatura de congelamento em até +3,5°C. Conheça os resultados do estudo com o analisador nanoSAQLA.

Por: Dafratec | Em 17/04/2026 | Artigo
Compartilhar:
Banner do webinário gratuito sobre vesículas extracelulares e armazenamento inteligente

Bolhas Ultrafinas (UFB) e Polifenóis: Impacto na Nucleação de Gelo Medido com o nanoSAQLA

O estudo “Effect of Polyphenols on the Ice-Nucleation Activity of Ultrafine Bubbles” concluiu que os polifenóis testados (ácido tânico, catequina do chá e oligonol) promovem significativamente a nucleação de gelo, elevando a temperatura de congelamento em até +3,5 °C em relação à água pura. As interações entre polifenóis e bolhas ultrafinas (UFBs) ocorrem de forma distinta dependendo do tipo de polifenol.

Através do método de medição de temperatura de congelamento com resfriamento controlado e análise estatística de mais de 50 repetições, os autores demonstraram que as UFBs atuam como sítios potenciais de nucleação devido à sua grande área interfacial.

Uso do nanoSAQLA no estudo de UFB e Polifenóis

Usando o nanoSAQLA da Otsuka Eletronics, foi possível avaliar com precisão a distribuição de tamanho das bolhas ultrafinas antes e após a adição dos polifenóis, revelando alterações específicas no perfil de tamanho, como eliminação de picos maiores com catequina ou formação de múltiplos picos com oligonol, o que auxiliou na compreensão dos diferentes mecanismos de interação entre os polifenóis e as UFBs.

Distribuição de tamanho de bolhas ultrafinas (UFBs) medida pelo nanoSAQLA antes e após adição de polifenóis.
nanoSAQLA: Sistema de Medição de Nanopartículas rápido, compacto e sem contaminação. Mede múltiplas amostras de 0,6 nm a 10 μm em 1 minuto.

O que o estudo de 2023 revelou sobre bolhas ultrafinas e polifenóis

Principais conclusões

Os resultados mostram que tanto as bolhas ultrafinas quanto os polifenóis influenciam fortemente o processo de congelamento. Enquanto as UFBs sozinhas elevam a temperatura de congelamento em cerca de +0,6 °C, os polifenóis a 0,1 wt% apresentam um efeito ainda mais pronunciado, chegando a +3,5 °C no caso da catequina do chá.

Como as bolhas ultrafinas influenciam a temperatura de congelamento

As bolhas ultrafinas (UFBs) com diâmetros entre 100 e 500 nm atuam como sítios de nucleação devido à grande área de interface gás-líquido, facilitando o início do processo de formação de gelo.

Metodologia: Como o nanoSAQLA foi utilizado na pesquisa com UFB

Preparação das bolhas ultrafinas

As UFBs foram geradas em 1 litro de água pura utilizando um gerador comercial Aura Tec OM4-MDG-045, operando com ar a 0,25 MPa e temperatura de 293 K por 1 hora. As amostras foram estabilizadas durante a noite antes das análises.

Medição da distribuição de tamanho com o nanoSAQLA

O analisador nanoSAQLA da Otsuka Electronics realizou as medições por Dynamic Light Scattering (DLS), utilizando laser semicondutor de 70 mW (660 nm) e volume de amostra de aproximadamente 1 mL. O equipamento permitiu avaliar rapidamente a distribuição de tamanho das bolhas antes e após a adição dos polifenóis.

Ensaio de nucleação de gelo

Os testes de congelamento foram conduzidos em microtubos de 1,5 mL com termopar ultrafino externo, sob resfriamento lento controlado em −16 ± 1,5 °C, com registro de temperatura a cada 10 segundos.

A imagem abaixo ilustra o perfil típico de temperatura durante o experimento, desde a temperatura ambiente até o congelamento. Nela é possível identificar claramente o ponto de nucleação (nucleation point) — momento em que ocorre o aumento súbito de temperatura devido à liberação de calor latente — e as temperaturas de congelamento (freezing temperature) e de ajuste (setting temperature).

Perfil de temperatura durante o ensaio de nucleação de gelo, destacando o ponto de nucleação e as temperaturas de congelamento.
Perfil típico de temperatura da amostra desde a temperatura ambiente até o congelamento. A curva evidencia o ponto de nucleação, onde ocorre o aumento súbito de temperatura devido à liberação de calor latente, além das temperaturas de congelamento e de ajuste utilizadas no experimento.

Essa curva representa o comportamento térmico usado para determinar a temperatura de congelamento em cada condição testada (água pura, com UFBs, com polifenóis e combinações).

Resultados: Efeito dos polifenóis na distribuição de tamanho das UFBs e na temperatura de congelamento

Alteração na temperatura de congelamento

Os testes mostraram que as bolhas ultrafinas (UFBs) sozinhas elevaram a temperatura de congelamento em aproximadamente +0,6 °C em relação à água pura.

A imagem abaixo mostra a probabilidade cumulativa de congelamento comparando água pura (linha azul) com água contendo bolhas ultrafinas (linha vermelha).

Probabilidade cumulativa de congelamento: comparação entre água pura (azul) e água com bolhas ultrafinas (UFB – vermelha).
Probabilidade cumulativa de congelamento em função da temperatura para água pura (linha azul) e água contendo bolhas ultrafinas (UFB – linha vermelha). O deslocamento da curva vermelha para a direita demonstra que as bolhas ultrafinas elevam a temperatura de congelamento em aproximadamente +0,6 °C.

É possível observar que a curva das UFBs está deslocada para temperaturas mais altas, confirmando que as bolhas ultrafinas atuam como sítios de nucleação.

  • Ácido tânico (TA): +2,7 °C (sem UFBs) e +2,8 °C (com UFBs)
  • Catequina do chá (TC): +3,5 °C (sem UFBs)
  • Oligonol (OLG): +3,3 °C (sem UFBs)

A combinação com UFBs mostrou interações diferentes: o oligonol apresentou leve potencialização, enquanto a catequina mostrou leve supressão do efeito.

Mudanças observadas nas bolhas ultrafinas

As medições com o nanoSAQLA indicaram:

  • Catequina do chá (TC): eliminação de picos acima de 1000 nm, resultando em pico único próximo a 300 nm.
  • Oligonol (OLG): formação de múltiplos picos (<200 nm, ~500 nm e >1300 nm).
  • Ácido tânico (TA): pouca alteração no perfil de distribuição.

Diferenças entre os tipos de polifenóis

As medições com o nanoSAQLA revelaram que cada polifenol interage de forma distinta com as bolhas ultrafinas. Enquanto o ácido tânico praticamente não alterou o perfil de tamanho das UFBs, a catequina e o oligonol provocaram mudanças claras na distribuição.

A imagem abaixo mostra o efeito do ácido tânico (TA):

Probabilidade cumulativa de congelamento com diferentes concentrações de ácido tânico (TA) comparado à água pura.
Probabilidade cumulativa de congelamento em função da temperatura para diferentes concentrações de ácido tânico (TA 0,1%, 0,05% e 0,01%) e água pura (linha tracejada). Observa-se que o ácido tânico eleva significativamente a temperatura de congelamento, com efeito mais pronunciado em maiores concentrações.

Já a próxima figura apresenta o comportamento da catequina do chá (TC):

Probabilidade cumulativa de congelamento com diferentes concentrações de catequina do chá (TC) comparado à água pura.
Probabilidade cumulativa de congelamento em função da temperatura para diferentes concentrações de catequina do chá (TC 0,1%, 0,05% e 0,01%) e água pura (linha tracejada azul). A catequina apresentou o maior efeito entre os polifenóis testados, elevando significativamente a temperatura de congelamento.

Por fim, o gráfico do oligonol (OLG):

Probabilidade cumulativa de congelamento com diferentes concentrações de oligonol (OLG) comparado à água pura.
Probabilidade cumulativa de congelamento em função da temperatura para diferentes concentrações de oligonol (OLG 0,1%, 0,05% e 0,01%) e água pura (linha tracejada azul). O oligonol também elevou a temperatura de congelamento, embora com padrão ligeiramente diferente dos outros polifenóis.

Observa-se que todos os polifenóis testados promoveram a nucleação de gelo, porém com intensidades diferentes. A catequina do chá (TC) apresentou o deslocamento mais pronunciado da curva, seguida pelo oligonol (OLG) e pelo ácido tânico (TA). 

Essas diferenças reforçam que cada polifenol interage de forma distinta com as bolhas ultrafinas (UFBs), tanto no perfil de tamanho quanto na capacidade de atuar como promotor de nucleação.

Efeito da combinação entre polifenóis e bolhas ultrafinas (UFBs)

Após analisar os polifenóis isoladamente, o estudo avaliou o efeito da adição de bolhas ultrafinas (UFBs) às soluções de polifenóis a 0,1 wt%.

A primeira combinação analisada foi o ácido tânico (TA) com UFBs:

Curva de congelamento de solução com 0,1% ácido tânico (TA) em água com bolhas ultrafinas (UFBs).
Curva de congelamento (freezing curve) da solução aquosa com 0,1 wt% de ácido tânico (TA) em água com bolhas ultrafinas (UFBs – linha azul sólida). A figura compara com água pura e com solução contendo apenas UFBs, mostrando que a presença de UFBs praticamente não altera o forte efeito promotor de nucleação do ácido tânico.

Os resultados indicam que a presença de UFBs praticamente não modifica o efeito promotor de nucleação do TA, mantendo a elevação da temperatura de congelamento em torno de +2,8 °C em relação à água pura.

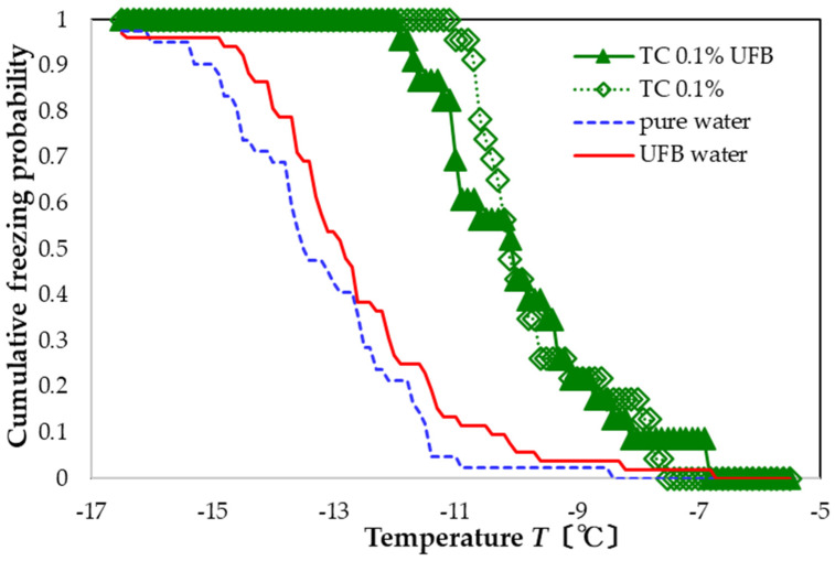
A seguir, o efeito da combinação da catequina do chá (TC) com UFBs:

Curva de congelamento de solução com 0,1% catequina do chá (TC) em água com bolhas ultrafinas (UFBs).
Curva de congelamento da solução aquosa com 0,1 wt% de catequina do chá (TC) em água com bolhas ultrafinas (UFBs – linha verde sólida). A figura mostra que a adição de UFBs causa uma leve supressão no efeito promotor de nucleação da catequina, com FAC de +3,3 °C em relação à água pura.

Diferentemente do ácido tânico, a adição de bolhas ultrafinas provocou uma leve supressão no efeito promotor de nucleação da catequina, resultando em uma temperatura de congelamento de +3,3 °C em relação à água pura (ligeira redução de aproximadamente −0,2 °C em comparação com TC sem UFBs). Embora essa diferença esteja próxima da margem de incerteza experimental, ela indica uma interação distinta entre a catequina e as UFBs.

Por fim, o comportamento do oligonol (OLG) combinado com UFBs:

Curva de congelamento de solução com 0,1% oligonol (OLG) em água com bolhas ultrafinas (UFBs).
Curva de congelamento da solução aquosa com 0,1 wt% de oligonol (OLG) em água com bolhas ultrafinas (UFBs – linha vermelha sólida). Diferentemente da catequina, a presença de UFBs provocou uma leve potencialização no efeito promotor de nucleação do oligonol, com FAC de +3,5 °C em relação à água pura.

Neste caso, a presença de bolhas ultrafinas resultou em uma leve potencialização do efeito do oligonol, elevando a temperatura de congelamento para +3,5 °C em relação à água pura (+0,3 °C adicional em comparação com OLG sem UFBs). Embora a diferença seja pequena e dentro da incerteza experimental, o OLG foi o único polifenol que mostrou tendência de aumento do efeito promotor quando combinado com UFBs.

Análise da distribuição de tamanho das bolhas ultrafinas com o nanoSAQLA

Para compreender melhor as diferentes interações observadas, os autores mediram a distribuição de tamanho das bolhas ultrafinas utilizando o nanoSAQLA por Dynamic Light Scattering (DLS).

Abaixo estão os resultados para cada polifenol:

Com ácido tânico (TA):

Distribuição de tamanho de bolhas ultrafinas com ácido tânico (TA) medida pelo nanoSAQLA.
Distribuição de tamanho das bolhas ultrafinas (UFBs) em água pura (cinza) e em solução com 0,1 wt% de ácido tânico (TA). O nanoSAQLA mostrou que a adição de TA não altera significativamente o perfil de tamanho das UFBs.

O nanoSAQLA revelou que a adição de TA praticamente não modificou a distribuição de tamanho das UFBs, mantendo os picos característicos próximos a 250 nm e acima de 1000 nm. Isso explica por que o TA não sofreu alteração significativa na atividade de nucleação quando combinado com UFBs.

Com catequina do chá (TC):

Distribuição de tamanho de bolhas ultrafinas com catequina do chá (TC) medida pelo nanoSAQLA.
Distribuição de tamanho das bolhas ultrafinas medida pelo nanoSAQLA em água pura e com 0,1 wt% de catequina do chá (TC). A adição de TC elimina as bolhas maiores, resultando em um perfil com pico único em torno de 300 nm.

Na presença de catequina, observou-se uma mudança importante: o pico de bolhas maiores desapareceu, restando apenas um pico único próximo a 300 nm. Isso sugere que a TC favorece a coalescência ou remoção das UFBs maiores da solução.

Com oligonol (OLG):

Distribuição de tamanho de bolhas ultrafinas com oligonol (OLG) medida pelo nanoSAQLA.
Distribuição de tamanho das bolhas ultrafinas medida pelo nanoSAQLA em água pura e com 0,1 wt% de oligonol (OLG). A adição de OLG gera múltiplos picos, indicando formação de agregados maiores.

Com oligonol, o nanoSAQLA detectou três picos distintos (<200 nm, ~500 nm e >1300 nm), sugerindo a formação de agregados maiores. Esse comportamento foi o mais diferente entre os três polifenóis testados.

Essas medições com o nanoSAQLA foram essenciais para explicar as diferentes interações entre cada polifenol e as bolhas ultrafinas, ajudando a compreender os resultados observados nas curvas de nucleação de gelo.


Por que o nanoSAQLA foi importante para o estudo de bolhas ultrafinas

O nanoSAQLA destacou-se por permitir medições precisas e rápidas da distribuição de tamanho das UFBs sem risco significativo de contaminação cruzada, graças ao seu sistema non-immersion.

Vantagens do sistema non-immersion

Essa característica é especialmente útil quando se trabalha com múltiplas amostras sensíveis, reduzindo tempo de limpeza e possíveis erros.

Precisão na medição de UFBs

O equipamento entrega resultados em cerca de 1 minuto por medição e suporta ampla faixa de concentração, tornando-o adequado para estudos que exigem alto número de repetições.

Aplicações práticas e limitações do estudo com bolhas ultrafinas

Possíveis implicações em alimentos congelados e criopreservação

O controle da nucleação de gelo é relevante para indústrias de alimentos congelados, criopreservação de células e tecidos, e desenvolvimento de materiais criogênicos. Entender essas interações pode contribuir para processos de congelamento mais eficientes e controlados.

O que ainda precisa ser investigado

Por se tratar de um estudo em escala laboratorial (1 mL), ainda são necessários trabalhos que avaliem a escalabilidade industrial, diferentes concentrações e mecanismos moleculares mais profundos.

Conclusão: O que aprendemos sobre bolhas ultrafinas (UFB) e polifenóis

Este estudo reforça o potencial das bolhas ultrafinas (UFB) como ferramenta científica e demonstra que o nanoSAQLA é um equipamento valioso para caracterizar com precisão essas interações. Embora os resultados sejam promissores, ainda há espaço para pesquisas aplicadas que conectem esses achados com processos industriais reais.

Link original do estudo:

https://pmc.ncbi.nlm.nih.gov/articles/PMC9823398/

FAQ - Bolhas Ultrafinas (UFB), Polifenóis e o nanoSAQLA

O que o estudo concluiu sobre bolhas ultrafinas e polifenóis?

O estudo concluiu que os polifenóis (ácido tânico, catequina do chá e oligonol) promovem significativamente a nucleação de gelo, elevando a temperatura de congelamento em até +3,5 °C em relação à água pura. As interações com bolhas ultrafinas (UFBs) variam conforme o tipo de polifenol.

Qual foi o papel do nanoSAQLA no estudo?

O nanoSAQLA foi utilizado para medir com precisão a distribuição de tamanho das bolhas ultrafinas (UFBs) por Dynamic Light Scattering (DLS) antes e após a adição dos polifenóis. Ele permitiu identificar alterações específicas no perfil de tamanho causadas por cada polifenol, ajudando a explicar os diferentes efeitos na nucleação de gelo.

As bolhas ultrafinas (UFBs) sozinhas afetam a temperatura de congelamento?

Sim. As UFBs sozinhas elevam a temperatura de congelamento em aproximadamente +0,6 °C em relação à água pura, atuando como sítios potenciais de nucleação devido à sua grande área interfacial.

Qual polifenol apresentou o maior efeito na nucleação de gelo?

A catequina do chá (TC) foi o polifenol com maior impacto, elevando a temperatura de congelamento em até +3,5 °C. Em seguida aparecem o oligonol (+3,3 °C) e o ácido tânico (+2,7 °C).

Como os polifenóis interagem com as bolhas ultrafinas?

Cada polifenol interage de forma diferente: o ácido tânico praticamente não altera o tamanho das UFBs, a catequina elimina bolhas maiores (pico único ~300 nm) e o oligonol gera múltiplos picos, indicando formação de agregados maiores.

O que acontece quando se combina polifenóis com bolhas ultrafinas (UFBs)?

A combinação produz efeitos distintos: o ácido tânico mantém o efeito praticamente inalterado, a catequina sofre leve supressão e o oligonol apresenta leve potencialização na promoção da nucleação de gelo.

Quais são as principais vantagens do nanoSAQLA para esse tipo de pesquisa?

O nanoSAQLA permite medições rápidas (cerca de 1 minuto), suporta ampla faixa de concentração, mede até 5 amostras simultaneamente e utiliza sistema non-immersion, reduzindo significativamente o risco de contaminação cruzada.

Quais são as aplicações práticas desse estudo?

Os resultados são relevantes para indústrias de alimentos congelados, criopreservação de células e tecidos, e desenvolvimento de materiais criogênicos, onde o controle da nucleação de gelo pode melhorar processos de congelamento.

Quais limitações o estudo apresenta?

O estudo foi realizado em escala laboratorial (volume de 1 mL) sob condições controladas. Ainda são necessários estudos sobre escalabilidade industrial, diferentes concentrações e mecanismos moleculares mais profundos.

O nanoSAQLA é indicado para medições de bolhas ultrafinas?

Sim. O nanoSAQLA é especialmente adequado para medições de distribuição de tamanho de bolhas ultrafinas (UFBs), pois oferece alta precisão, rapidez e baixo risco de contaminação.


Equipamento Relacionado


Outros Artigos